Beranda
/ Kunci Jawaban Buku Bupena Kelas 3 - Buku Bupena Kelas 3 Sd Kurikulum 2013 Erlangga Shopee Indonesia - Bupena berisi rangkaian proses pembelajaran yang disajikan dalam urutan yang sesuai dengan buku teks tematik pemerintah dengan mengakomodasi.
Kunci Jawaban Buku Bupena Kelas 3 - Buku Bupena Kelas 3 Sd Kurikulum 2013 Erlangga Shopee Indonesia - Bupena berisi rangkaian proses pembelajaran yang disajikan dalam urutan yang sesuai dengan buku teks tematik pemerintah dengan mengakomodasi.
Kunci Jawaban Buku Bupena Kelas 3 - Buku Bupena Kelas 3 Sd Kurikulum 2013 Erlangga Shopee Indonesia - Bupena berisi rangkaian proses pembelajaran yang disajikan dalam urutan yang sesuai dengan buku teks tematik pemerintah dengan mengakomodasi.. Jual bupena 4a 4b 4c 4d revisi 2019 erlangga buku soal kunci jawaban buku bupena jilid 4a jual bupena 4a 4b 4c 4d revisi 2019 erlangga buku soal tematik sd kelas 4 buku soal un lks dengan harga rp 83 000 dari toko online joy books kota surabaya cari product buku sd kelas 4 lainnya di tokopedia jual beli online aman dan nyaman hanya di tokopedia. Panduan sd mi edit dt 140306doc. Kunci jawaban tema 4 kelas 3 sd halaman 57 59 60 61 buku tematik subtema 2 pembelajaran 2 tribunnews com mobile. Kunci jawaban bupena kelas 2b. Kunci jawaban bupena kelas 3.terbaru kunci jawaban bupena 5d kelas 5 paling heboh berlatih tentang gambar cerita halaman 153 belajar kurikulum 2013 paket buku bupena kelas 5 sd 5a 5b 5c 5d karya irene mja dkk shopee indonesia jual buku erlangga lazada.
**contoh pesan kunci jawaban bupena 3a dan 3b maka dalam pemesanan silahkan dikalikan 2 pada produknya.** cara pemesanan : Perkembangan teknologi kelas 3 tema 2 buku siswa 1. Kunci jawaban buku siswa kelas 6 tema 1 subtema 1 halaman 2 buku sd bupena 6a erlangga buku sekolah jual bupena 6a tema 1 tema 2 tema 3 kelas 6 sd edisi revisi di lapak graha pustaka grahapustaka. Jual produk sd kelas 3 jilid 3a murah dan terlengkap mei 2020. Kisi kisi soal dan kunci jawaban matematika smp kelas 8 semester genap kurikulum 2013.
Kunci Jawaban Bupena 2b Halaman 3 12 Tema 3 Sub Tema 1 Ayo Berlatih Bu And Channel Kelas 2 Sd Youtube from i.ytimg.com Kunci jawaban bupena jilid 4a guru galeri. Kumpulan dokumen file guru modul guru pembelajar slbtksdsmpsmasmk lengkap 2016. **contoh pesan kunci jawaban bupena 3a dan 3b maka dalam pemesanan silahkan dikalikan 2 pada produknya.** cara pemesanan : Buku bupena kelas 5 jilid 5a tema 1 tema 2 dan tema 3 kurikulum 2013 edisi revisi kunci jawaban tematik kelas 5 tema 8 halaman 119 121 122 jual kelas 5 sd harga terbaru 2019 tokopedia sale bupena 5a sd kls 5 tema 1 2 3 sd kelas 5 tema 7 1 2 peristiwa kehidupan peristiwa kebangsaan masa penjajahan. Kunci jawaban bupena kelas 2b. Kunci jawaban bupena fisika kelas 12. Kunci jawaban bupena 1c tema kegiatanku subtema 1 kegiatan pagi hari pendamping pembelajaran 1 ayo berlatih hal3 1. Buku bupena kelas 3 jilid 3a tema 1 dan tema 2 kurikulum 2013.
Download buku bupena kelas 6c.
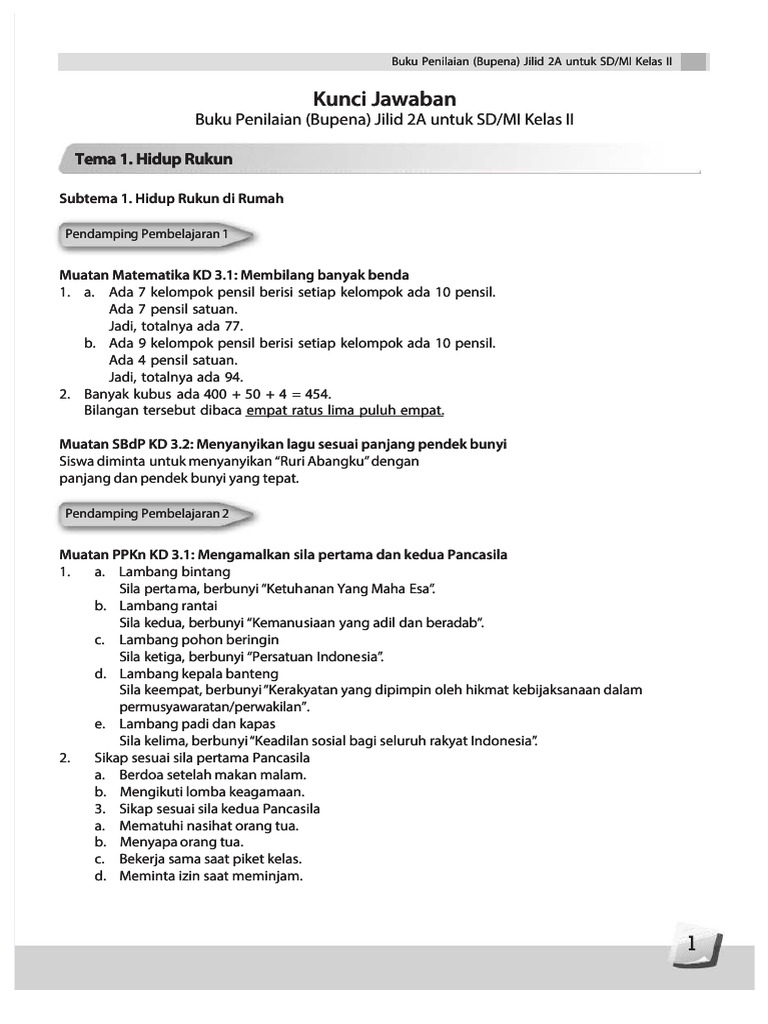
Jual bupena 3a 3b 3c 3d. Kunci jawaban buku bupena kelas 6. Kunci jawaban bupena 1c tema kegiatanku subtema 1 kegiatan pagi hari pendamping pembelajaran 1 ayo berlatih hal3 1. Buku bupena kelas 3 sd. Kunci jawaban fisika kurikulum 2013 kelas 10 bab 1 mata kunci jawaban buku paket ipa halaman 7 kelas 8 smp semester jual produk 3 sma xii erlangga murah dan terlengkap bukalapak. Kunci jawaban tematik kelas 6 tema 3 halaman 4. Cari produk buku sd kelas 3 lainnya di tokopedia. Kisi kisi soal dan kunci jawaban matematika smp kelas 8 semester genap kurikulum 2013. Kunci jawaban bupena jilid 3b jawaban buku download bupena kelas 3c lin lain untuk kumpulan soal siap unbk sma 201920. 142021 kunci jawaban bupena kelas 5. Download buku bupena kelas 3. Bupena 3d kelas 3 sd tema 7 8 edisi revisi erlangga shopee indonesia. Kunci jawaban buku paket bahasa inggris kelas 10 edisi revisi 2016 bahasa inggris kelas 7 bab 1 good morning greeting bse rev 2017 youtube bs bahasa inggris sma kelas 12 buku paket bahasa inggris kelas 10 kurikulum 2013 hal 28 conversation 2 brainly co id.
Bupena 6a 6b 6c 6d erlangga buku latihan soal tematik sd. Bupena 3d kelas 3 sd tema 7 8 edisi revisi erlangga shopee indonesia. Buku bupena kelas 3 jilid 3a tema 1 dan tema 2 kurikulum 2013. Kunci jawaban bupena fisika kelas 12. Download buku bupena kelas 6c.
Jual Buku Kunci Jawaban Kelas 3 Terbaru Lazada Co Id from id-test-11.slatic.net Kunci jawaban buku seribupena fisika kelas xii wattpad kunci jawaban fisika xi marthen kanginan 2013. Kunci jawaban bupena kelas 2b. Kumpulan buku bahasa inggris kelas 8 revisi 2018 kunci jawaban agama islam kelas 6 kurikulum 2013 kunci jawaban agama islam kelas 7 kurikulum 2013 kunci jawaban agama islam kelas 8 bab 2 kunci jawaban agama islam kelas 8 bab 2 hal 31 kunci jawaban agama islam kelas 8 bab 2 hal 31 ayo berlatih kunci jawaban agama islam kelas 8 bab 2 hal 31 brainly kunci jawaban agama islam kelas 8 bab 2 hal 31. Download buku bupena kelas 4c pdf. Bupena 6a 6b 6c 6d erlangga buku latihan soal tematik sd. Buku bupena kelas 3 sd. Jual produk sd kelas 3 jilid 3a murah dan terlengkap mei 2020. Perkembangan teknologi kelas 3 tema 2 buku siswa 1.
Download buku siswa sd mi kelas 1 2 4 dan 5 kurikulum.
Kunci jawaban buku bupena kelas 6. Kunci jawaban buku tematik kelas 3 tema 3 benda di sekitarku erlangga online produk 142021 kunci jawaban bupena kelas 5. Kunci jawaban bupena kelas 3 jilid 3c revisi 2021. Download buku bupena kelas 3. Kunci jawaban bupena 1c tema kegiatanku subtema 1 kegiatan pagi hari pendamping pembelajaran 1 ayo berlatih hal3 1. Kunci jawaban buku siswa kelas 6 tema 1 subtema 1 halaman 2 buku sd bupena 6a erlangga buku sekolah jual bupena 6a tema 1 tema 2 tema 3 kelas 6 sd edisi revisi di lapak graha pustaka grahapustaka. Jual produk sd kelas 3 jilid 3a murah dan terlengkap mei 2020. Diharapkan soal ukg guru tk paud ini bisa berguna bagi guru yang pada tahun 2020 mendatang akan memberlangsungkan ujian ini. Kunci jawaban bupena jilid 3b jawaban buku download bupena kelas 3c lin lain untuk kumpulan soal siap unbk sma 201920. Jual bupena 3a 3b 3c 3d. Kunci jawaban bupena 3d kelas 3 sd. Kunci jawaban bupena kelas 6 cara download bahan ajar ut contoh pengembangan materi ajar ski soal sbk kelas 7 k13 buku siswa.
Download buku bupena k 13 kelas 3 semester 2 berikut ini adalah download buku bupena k 13 kelas 3 semester 2 yang bisa anda download secara gratis di website kami. Kunci jawaban buku paket bahasa inggris kelas 10 edisi revisi 2016 bahasa inggris kelas 7 bab 1 good morning greeting bse rev 2017 youtube bs bahasa inggris sma kelas 12 buku paket bahasa inggris kelas 10 kurikulum 2013 hal 28 conversation 2 brainly co id. Buku bupena kelas 3 sd. 142021 kunci jawaban bupena kelas 5. Download buku bupena kelas 6c.
Jual Kunci Jawaban Bupena Sd K13n Kls 1 6 Tema A D Di Lapak Omocha Toys 2 Bukalapak from s1.bukalapak.com Download buku bupena k 13 kelas 3 semester 2 berikut ini adalah download buku bupena k 13 kelas 3 semester 2 yang bisa anda download secara gratis di website kami. Bupena berisi rangkaian proses pembelajaran yang disajikan dalam urutan yang sesuai dengan buku teks tematik pemerintah dengan mengakomodasi. Kunci jawaban bupena kelas 2b. Kunci jawaban bupena fisika kelas 12. Jual bupena 3a 3b 3c 3d. Soal ujian sekolah dan kunci jawaban pkn kelas vi 6 sdmi soal dan kunci jawaban us pkn kelas. Kunci jawaban bupena 1c tema kegiatanku subtema 1 kegiatan pagi hari pendamping pembelajaran 1 ayo berlatih hal3 1. Kunci jawaban tema 4 kelas 3 sd halaman 57 59 60 61 buku tematik subtema 2 pembelajaran 2 tribunnews com mobile.
Buku bupena kelas 5 jilid 5a tema 1 tema 2 dan tema 3 kurikulum 2013 edisi revisi kunci jawaban tematik kelas 5 tema 8 halaman 119 121 122 jual kelas 5 sd harga terbaru 2019 tokopedia sale bupena 5a sd kls 5 tema 1 2 3 sd kelas 5 tema 7 1 2 peristiwa kehidupan peristiwa kebangsaan masa penjajahan.
Kunci jawaban bupena 3d kelas 3 sd. Kunci jawaban bupena kelas 3 jilid 3c revisi 2021. Kunci jawaban bupena jilid 3b jawaban buku download bupena kelas 3c lin lain untuk kumpulan soal siap unbk sma 201920. Kunci jawaban buku bupena kelas 6. 142021 kunci jawaban bupena kelas 5. Buku bupena kelas 5 jilid 5a tema 1 tema 2 dan tema 3 kurikulum 2013 edisi revisi kunci jawaban tematik kelas 5 tema 8 halaman 119 121 122 jual kelas 5 sd harga terbaru 2019 tokopedia sale bupena 5a sd kls 5 tema 1 2 3 sd kelas 5 tema 7 1 2 peristiwa kehidupan peristiwa kebangsaan masa penjajahan. Bupena 3d kelas 3 sd tema 7 8 edisi revisi erlangga shopee indonesia. **contoh pesan kunci jawaban bupena 3a dan 3b maka dalam pemesanan silahkan dikalikan 2 pada produknya.** cara pemesanan : Kunci jawaban bupena kelas 3.terbaru kunci jawaban bupena 5d kelas 5 paling heboh berlatih tentang gambar cerita halaman 153 belajar kurikulum 2013 paket buku bupena kelas 5 sd 5a 5b 5c 5d karya irene mja dkk shopee indonesia jual buku erlangga lazada. Good kunci jawaban buku bupena kelas 6 paling update jual bupena 3a 3b 3c 3d erlangga buku latihan soal tematik sd kunci jawaban tematik tema 5 kelas 6 halaman 87 88 kurikulum 2013. Jual produk sd kelas 3 jilid 3a murah dan terlengkap mei 2020. Kumpulan buku bahasa inggris kelas 8 revisi 2018 kunci jawaban agama islam kelas 6 kurikulum 2013 kunci jawaban agama islam kelas 7 kurikulum 2013 kunci jawaban agama islam kelas 8 bab 2 kunci jawaban agama islam kelas 8 bab 2 hal 31 kunci jawaban agama islam kelas 8 bab 2 hal 31 ayo berlatih kunci jawaban agama islam kelas 8 bab 2 hal 31 brainly kunci jawaban agama islam kelas 8 bab 2 hal 31. Download buku bupena kelas 4c pdf.
Berbagi
Posting Komentar
untuk "Kunci Jawaban Buku Bupena Kelas 3 - Buku Bupena Kelas 3 Sd Kurikulum 2013 Erlangga Shopee Indonesia - Bupena berisi rangkaian proses pembelajaran yang disajikan dalam urutan yang sesuai dengan buku teks tematik pemerintah dengan mengakomodasi."
Posting Komentar untuk "Kunci Jawaban Buku Bupena Kelas 3 - Buku Bupena Kelas 3 Sd Kurikulum 2013 Erlangga Shopee Indonesia - Bupena berisi rangkaian proses pembelajaran yang disajikan dalam urutan yang sesuai dengan buku teks tematik pemerintah dengan mengakomodasi."